Last modified on 10 May 2006, at 00:19

File:Pyrazol5.JPG

Pyrazol5.JPG(194 × 211 pixels, file size: 5 KB, MIME type: image/jpeg)

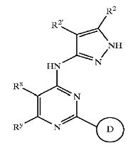
Pyrazol compound disclosed in patent number US2004224944

File history

Click on a date/time to view the file as it appeared at that time.

Date/TimeThumbnailDimensionsUserComment
current00:19, 10 May 2006Thumbnail for version as of 00:19, 10 May 2006194 × 211 (5 KB)Vinod.singh@dolcera.com (Talk | contribs)Pyrazol compound disclosed in patent number US2004224944
  • You cannot overwrite this file.

The following file is a duplicate of this file (more details):

There are no pages that link to this file.